Introduction
This experimental study explored two critical domains of electrical engineering, concerning the dynamics of the control system and the electrical power system. The objectives included the assessment of the dynamic response and stability of the proportional-integral-derivative (PID) control systems, and characterization of three-phase electric circuits and transmission lines respectively. The research was accomplished via numerous and detailed experimental approaches involving Simulink program and real circuitry measurements, exploring the following parameters of the system: stability, rise and settling time, steady-state error, voltage measures, power transmission coefficient, and loads. The discovered relations were complex interdependencies between proportional gain, system output, as well as the effects of selected circuit configurations on electrical power transfer.
For more expert guidance and tailored solutions, explore New Assignment Help UK for reliable academic support in electrical engineering and related subjects.
Results and Discussion.
Part 1 Control
Answer of question 1

Figure 1: Answer of question 1
(Source: Self-created)
Stability of these control systems is an indispensable requirement. Stability for the system shown in figure 2 depends on a proportional gain Kp value. Proportional control of the system is being more responsive by increasing the response based on the error signal. However, the excessive value of Kp may bring instability to the entire system since oscillations may be boosted or the output signal is allowed to go to infinity. With respect to Kp terms, the characteristic equation of the system can be extracted by the closed-loop transfer function from the denominator. They want the roots of the characteristic equation to remain in the left half of the s-plane (the real parts must be negative) in order to determine the range of Kp for stability. In this case, to the poles crossing into the right half-plane, it might be possible that if Kp goes far beyond a certain value, then the system will become unstable (Chakrabarti and Halder, 2022). Stability analysis is therefore important and the setting of Kp much more refined to avoid instability or bucking whilst achieving acceptable performance.
Answer of question 2
The response of the system at a time indicated by the step input gives its transient response characteristic. Additionally, the robustness of the system is analyzed in response to a step change input like r(t) where; time response measures are stability, rising time, settling time and overshoot. The system by proportional control is expected to minimize the error signal, however, there is a proportional gain Kp that dictates the success of the system. A small value of Kp results in a slower and possibly lagging response while a larger value of Kp leads to higher speed of response but gives visible oscillation or over shootage. The effectiveness of the closed-loop system can be checked from the output y(t) by substituting the input with a step response (Ozcanli, et al. 2020). The output is maintained by the system with a particular amount of steady-state error for the settled values of the Kp. Despite a partial success the proportional controller might not erase steady-state error fully and is likely to be complemented with integral or derivative actions to optimize efficiency.
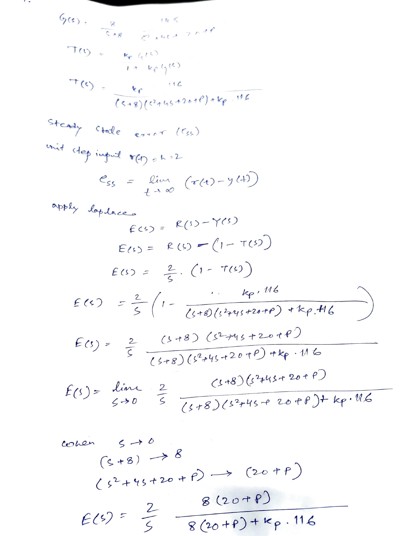
Answer of question 3

Figure 2: Answer of question 3
(Source: Self-created)
The steady state error measures the ability of the system to respond to an input signal by attaining and sustaining the output corresponding to that signal. The steady state error of a P-controller depends on the dynamics of the system, and the proportional gain Kp. If a step input is applied then the proportional control may not counteract adequately leading to a steady state output value which is different from the step input. The basis for computing ess is the transfer function, closed-loop system. Since the proportional controller is unable to undo the residual error and there will always be some residual error even if Kp is finite.

Figure 3: Answer of question 3
(Source: Self-created)
This is due to the reason that proportional control does not consider the aggregate prior errors in any given process. To a certain extent when Kp is increased the steady-state error decreases, however the stability is at risk (Zhang et al., 2022). When that which is required is very precise at the steady state, proportional control is thus inadequate by itself. This highlights the need for integrated control to minimize ess in order to have the desired impacts as listed below.
Answer of question 4

Figure 4: Answer of question 4
(Source: Self-created)
However, using a proportional controller (Kp) has built in problems with regard to steady state performance. The presence of a steady-state error does not equal zero, though it enhances the responsiveness of the system to input modification. Since ess and Kp are inversely related for a step input, higher Kp reduces the error. On the other hand, instability, or a poor transitory reaction, may be caused by excessive gain. Because proportional control cannot add previous errors with the control action, steady-state error cannot be completely eliminated.

Figure 5: Answer of question 5
(Source: Self-created)
Because of this it is less suitable for systems where the output is required to be accurately tracked. To circumvent this limitation, there are more integral and differential parts in most of the utilised practical control strategies (De Doncker, et al 2020). The derivative term predicts future error profiles to secure the system while the integral term accumulates error up to ess going to zero. Consequently, Kp must be improved for proper performance, although the I-P control scheme is easy and fast for basic applications.
Answer of question 5

Figure 6: pid controller
(Source: Self-created in matlab)
The results of the system with a PID controller were time-domain simulations that were run in Simulink. Based on the Ziegler-Nichols method for tuning, proportional control gains for initial response were calculated, however, the system response did not meet the required specifications in rise time, overshoot and settling time. To further improve the performance of the controller, the gains of the controller were adjusted manually. The final tuning of the PID controller enabled steady-state error to be set to zero and hence meeting the desired output specifications. The rise time was less than 400ms and the settling time was made within 2 seconds. The overshoot was adjusted to a level that did not exceed 5% of its final value to give a response that was slow and controlled. A conventional type of plot was observed with regards to plots of the system output and control signal, with the first overshoot being larger than the rest of the oscillations (Von Meier, 2024). The behavior of the system was well controlled and it was behaving just as required to provide required performance characteristics.
Part 2 Electrical Power and Machines
Lab 1: Three-Phase Circuits and Measurements
1a. Star (Y) Connection: Voltage Characteristics
In the star-connected circuit, the researcher accurately performed measurements of phase and line voltage. The phase voltages with respect to the neutral point were measured as 108V, 109V and 109V between the neutral point and the respective phases. Similarly, the line voltages were taken and found to be 187V, 188V and 189V. One observation that warranted the critical focus was the line and phase voltages that practically are in the proportion of V_L = √3 × V_φ. These experimental results confirmed this relationship, and as for the average voltage ratio, it was close to 1.732V which corresponds to the theoretical result.
1b. Neutral Current Analysis
The experiment with the neutral current covered interesting and Load flow conditions that are balanced and unbalanced. Indeed, under a balanced load, the said current was detected only at 0.02A. On the other hand, when there was a break in one phase, the value of the neutral current rose to 0.29A against 0.05A with a balanced circuit (Choudhury, 2020). This observation brings the focus on the load balance in a three-phase system, with a view of showing how imbalance results in current being carried through the neutral line.
1.c Calculation of Active Power in Star Configuration
To determine the active power in the star configuration, power analysis for each phase was computed using the formula P_φ =V_φ × I_φ × cos(φ). The experimental results illustrated that each phase has a factor of 31 to 32 watts, which sums up an active power of 95 watts (Gönen, et al. 2024). As a way of double checking, the researcher recalculated total power using the total power formula P_T = 3 × V_L × I_L × cos(φ) the results obtained were almost similar to individual phase measurements.
1d. Delta (Δ) Connection: DC Voltage and Current Risks
It is significant to understand that the delta connected circuit presents different characteristics. Unlike the star configuration the line and phase’s voltages were equal as they recorded high values of 186V, 187V and 189V. This characteristic of delta connections offers certain special benefits for designs of electrical systems.
1e. Comparison of Active Power in Delta Configuration
Similar to the power system analysis done in the star connection, that for the delta configuration was also conducted as follows. The first phase consumed power of 45.4W, the second phase consumed 44.6W and the last consumed power of 45.4W making the total power consumption of 135W (Garrow, et al. 2021). The total active power calculation, with P_T = 3 × V_L × I_L × cos(φ) confirmed the Phase values calculated from the measures made.
1f. Comparative Analysis: Star vs. Delta Configurations
One of the critical factors addressed in the experiment was the differential arrangements of stars and deltas. When changing the connection of load currents, important variations in terms of electrical characteristics were noticed (Al-Yasiri and Szabó, 2021). The star configuration tested had higher impedance and therefore lower phase and line currents compared to delta configuration. Further, power consumption revealed significant distinctions, which suggests the aptness of connection type as a part of electrical structure.
Lab 2: Transmission Lines
2a. Unloaded Transmission Line Voltage Characteristics
The experiment in the unloaded transmission line involved watching a fascinating phenomenon referred to as the Ferranti effect. Charging current and line capacitance caused receiving-end voltage (110V) to be slightly higher than the sending-end voltage (108V). This phenomenon shows the various forms of electrical activity in transmission systems behavior when there is no load.
2b. Resistive Load Performance
There was good power transfer efficiency when a purely resistive load was used during the transmission and reception (Babu et al., 2020). The received power was around 50W with an input power factor of 0.99. This configuration depicts the best case in power transmission since it has least reactive power and maximum real power.
2c. Mixed Load Characteristics
In this case, the actual addition of a mixed load consisting of resistive and inductive components drastically changed the transmission line operation. This was evident with a power factor of 0.74, real power in the circuit falling to 46 watts, while reactive power declined to 42VAR (Alhassan et al., 2020). This experiment showed that an increase in inductive components has adverse effects on the efficiency of the power system.
2d. Comparative Load Analysis
The comparison with various loading types showed important findings. It found that resistive loads provided the best result of power transfer efficiency, but the mixed loads with some inductive parts had a negative impact on the power factor (Ghiasi et al., 2023). The results highlighted in this paper call for power factor correction approaches within electrical power systems.
2e. Sending-End Voltage Verification
The last experiment was to use the receiving-end voltage and circuit parameters to determine sending-end voltage. By using the formula V_s = V_r + I × Z, the obtained sending-end voltage estimate was approximately 108V. The presented verification ensures the consistency of experimental values and parameter estimations of the circuit.
Conclusion
Essentially, the findings of this research work gave a tractable understanding of the dynamics of the control system and electrical power transmission. In control systems, the examination revealed the significance of the proportional gain (Kp) to system stability and response characteristics as well as the ‘tuning’ of the system response between being fast and robust and too sensitive and oscillatory. Therefore, this PID controller tuning made it clear that increasing the gains could be done with a great deal of care so as to minimize the steady state error while achieving the desired performance specifications. Finally, the work conducted in electrical power systems revealed crucial disparities of star and delta constructions highlighting the impact of circuit layout on voltage, current and power distribution. The data obtained from the transmission line experiments complemented the previous observations by showing how load characteristics, power factor, and transmission efficiency are interconnected, and how careful attention must be paid to developing correct electrical systems and load schedules.
Reference List
Journals
- Chakrabarti, A. and Halder, S., 2022. Power system analysis: operation and control. PHI Learning Pvt. Ltd..
- Ozcanli, A.K., Yaprakdal, F. and Baysal, M., 2020. Deep learning methods and applications for electrical power systems: A comprehensive review. International Journal of Energy Research, 44(9), pp.7136-7157.
- Zhang, Y., Shi, X., Zhang, H., Cao, Y. and Terzija, V., 2022. Review on deep learning applications in frequency analysis and control of modern power system. International Journal of Electrical Power & Energy Systems, 136, p.107744.
- De Doncker, R.W., Pulle, D.W. and Veltman, A., 2020. Advanced electrical drives: analysis, modeling, control. Springer Nature.
- Von Meier, A., 2024. Electric power systems: a conceptual introduction. John Wiley & Sons.
- Choudhury, S., 2020. A comprehensive review on issues, investigations, control and protection trends, technical challenges and future directions for Microgrid technology. International Transactions on Electrical Energy Systems, 30(9), p.e12446.
- Gönen, T., Ten, C.W. and Mehrizi-Sani, A., 2024. Electric power distribution engineering. CRC press.
- Al-Yasiri, Q. and Szabó, M., 2021. Incorporation of phase change materials into building envelope for thermal comfort and energy saving: A comprehensive analysis. Journal of Building engineering, 36, p.102122.
- Garrow, L.A., German, B.J. and Leonard, C.E., 2021. Urban air mobility: A comprehensive review and comparative analysis with autonomous and electric ground transportation for informing future research. Transportation Research Part C: Emerging Technologies, 132, p.103377.
- Babu, T.S., Vasudevan, K.R., Ramachandaramurthy, V.K., Sani, S.B., Chemud, S. and Lajim, R.M., 2020. A comprehensive review of hybrid energy storage systems: Converter topologies, control strategies and future prospects. IEEE Access, 8, pp.148702-148721.
- Alhassan, A.B., Zhang, X., Shen, H. and Xu, H., 2020. Power transmission line inspection robots: A review, trends and challenges for future research. International Journal of Electrical Power & Energy Systems, 118, p.105862.
- Ghiasi, M., Niknam, T., Wang, Z., Mehrandezh, M., Dehghani, M. and Ghadimi, N., 2023. A comprehensive review of cyber-attacks and defense mechanisms for improving security in smart grid energy systems: Past, present and future. Electric Power Systems Research, 215, p.108975.